PHYS 211 -- Essentials of Physics I. (3) Classical mechanics and wave motion. Calculus-level course for students of science and engineering.
(Prereq: a grade of C or better in MATH 141;
coreq: PHYS 211L)
Please read these instructions for our CAPA exams.



Learning On Line with Computer Assisted Personalized Approach system (LONCAPA)
We will be using LONCAPA in Physics 211.
ACCESS: Every week
some class material and homework assignments will be posted on:
http://loncapa2.physics.sc.edu.
I will usually allow at least a week for completion of each
assignment. You will usually get 15 tries at each answer.
Your username is: The network username assigned to you by the University (all in lowercase.)
Your password is:
Your student number. Please do not change your password. If
I know what it is I can check out any login problems you might
have. I can look at (and change) any information associated
with your account without your password, I just can't sort out problems
you might be having.
The domain is "sc", which is already filled in for you.
NAVIGATION: Upon a successful login, you can choose to work with a main menu in the main window or request a remote control which will appear as a separate window to the browser window. It provides access to the various features of LON-CAPA. If the remote does not appear when you log in, it is either behind the browser window or you are in the single window mode with a menu. A good arrangement of the windows will be to have both the Remote Control and the content window available next to each other.
After successful login, you will get to a screen with your currently available courses. Please select your course (phys211), just click select and you will go to the welcome page of the course (which contains a copy of the syllabus, messages and other links).
With the Remote Control you can move forward and backward in the content with the respective buttons; the COM button allows one to COMmunicate by sending internal mail; NAV helps navigate quickly through the material for the course; you can change your password by clicking PREF; EXIT will log you out of the system (a requirement if you do not want someone else accessing your account).
BROWSERS
-On PCs, latest versions
of Netscape and Internet Explorer should work. I have also used Mozilla
and Mozilla Firefox.
-On Macs, Netscape Internet Explorer should work. Safari also seems to work.
Your browser will need to have "cookies", "Javascript" and "Java" enabled. In some browsers you should allow pop-up windows.
For some course material,
you will need the Apple Quick-time plug in.
If you can see the login
screen, but have problems completing the login process click on the
HELP link and follow the instructions.
A common problem is that
pop-up blockers, or firewall privacy settings, are not letting
information about the Remote Control through to your computer. It
is possible to run loncapa in a window-based menu mode that does
not use the Remote Control. The HELP link will let you choose
that setting.
If you still have
problems logging in, the server may be down and you just have to
wait. Our servers had hardware problems this last semester. We
have purchased new servers and hope that we don't have
reliability problems this semester.
Report any technical problems as soon as possible to jwilson@sc.edu.
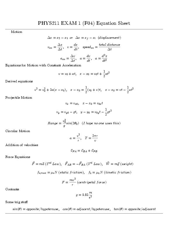
1-d motion (x,v,a as functions of t):
av. velocity = delta x /delta t
speed = d/ delta t -- know the difference between d=distance and delta x=change in position.
What are all the calculus relationships between x,v,and a?
Constant acceleration problems.
Graphical relationships between x, v, and a.
Vectors:
Addition
Subtraction
Component form vs. magnitude and angle - be able to transform between these two descriptions.
2 and 3-d motion: just combines 1-d motion with vector math.
Projectile motion - special case of 2-d motion: 0 accel in x direction, constant a (=gravity) in y direction
Circular Motion
Addition of velocities
Forces:
1st Law (law of inertia)
2nd Law: F=ma. (What is the proper statement of this equation?)
3rd Law: Action - reaction law.
Can you draw free-body diagrams?
Types of forces:
Weight (W=mg directed downward)
Normal force (N = normal to a surface)
Tension (force exerted by a string, always a "pull")
Friction. Static (no motion) and kinetic (sliding).
Special problem: circular motion.
Work
Potential Energy
Gravity
Springs
Conservation of energy: Kinetic and potential
Power
Conservation of energy w/ external forces (changing total energy)
Center of Mass
External forces acting on center of mass
Conservation of momentum
Impulse
Collisions - conservation of momentum is the key here
elastic
inelastic
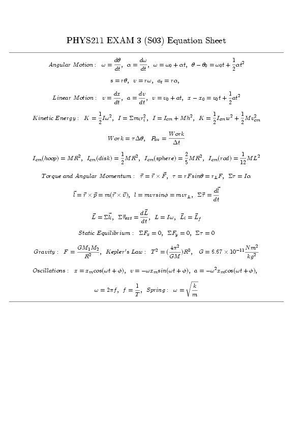
Rotational motion (just like linear motion)
angle
Rolling - connect rotational motion with linear center of mass motion
Torque
Angular momentum: L = (moment of inertia) x (angular velocity)
In cases where angular momentum is conserved we can have a change in the moment of inertia, which will cause a change in angular velocity.
Rotational kinetic energy
Statics (objects in equilibrium-at rest)
Gravitational force
Kepler's Law and orbits (involving cons. of E and cons. of ang. momentum)
x = X_m cos(omega * t + phi)